2017年7月15日下午,河南省汝州市中大街改造工程施工组在挖掘路面时发现了青石铺设,经文物局专家现场查看,此处青石铺设疑为明代青石牌坊原址基础。
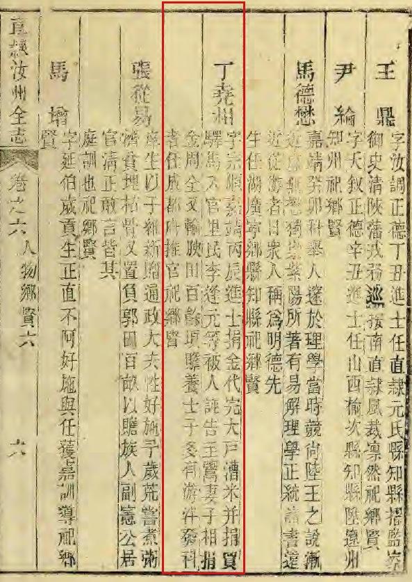
说到青石坊,我不仅想到了建造青坊的丁尧相,也想到了相隔不远的曾经的红石坊。坊间传说,青石坊是汝州明代进士丁尧相所建,红石坊是汝州明代进士张维新所建,并且丁尧相还是张维新的舅舅。上百度查询,查到有汝州进士榜,其中提到:“丁尧相,明嘉靖三十五年(1556年)进士,第3甲189名,曾任成都府推官,祀汝州乡贤祠。张维新舅父。”查清朝道光《汝州志》卷六·人物·乡贤记载:“丁尧相,字宗顺,嘉靖丙辰进士,捐金代完大户漕米,并捐买驿马入官,里民李逢元等被人诬告主鬻妻子,相捐金周全,又输腴田百余顷,赡养士子,多有游泮发科者。任成都府推官,祀乡贤。”

清道光《汝州志》
还有一些关于丁尧相建造建造青石坊的传说。传说,张进士在汝州老家门口街上建红石坊一座,丁进士心中不满。张进士与丁进士是甥舅关系,丁进士家居东关,只要进城,他或他的家人就必须从坊下经过,从坊下过就是从胯下过,丁进士感到太受侮辱。因张维新的祠堂在东关(原东关剧院处),于是,丁进士就在东门里建青石坊一座,意在张家如到祠堂祭祀也必须从他的坊下经过。

还传说,青石坊的各个部件做成后,搬运到街上安装竖立,当坊础及4根石柱立起后,横梁及坊首很重,却无法向上安装。工匠们围在一起商量,可商量来商量去,始终没有找到办法,领作的急得团团转。这时,有一个白胡子老头挤了进来,围着放在地上的横梁和坊首转来转去,并时而丈量,时而仰脸察看柱顶,似乎在捉摸安装方法。工匠们看到后,很感诧异,有人说,我们还没有办法,他能有什么法子!领作的倒是觉得“人外有人,天外有天”,应该过去问问。于是,走过去,深施一礼问道:“这横梁和坊首怎么向上安装,请老先生给予指教!”老人看看领作的,笑了笑说:“你没看我已是土都围到脖子的人了,还能有什么办法!”领作的悻悻而回,还被讥笑埋怨一番。就在这讥笑埋怨中,领作的忽然醒悟:“这不是鲁班显圣,让我们采用堆土法吗!”急忙转身去找,老人已无踪影。横梁和坊首就是用堆土法,将土堆起来成斜坡,高与柱顶齐,推拉上去安装起来的。
据说,汝州市文化局《张公巷北宋官窑窑址讲解词》介绍,张维新的舅舅丁尧相是嘉靖年间的进士,家住东门里路南, 张进士每次回家都要路经舅舅家门口,为了表示对舅舅的尊敬, 每次经过都是下马下轿, 这样虽然表示了对舅舅的尊敬,但着实也不太方便。后来,他每次回家一进东城门就顺“马道”往北,然后往西,再往南进入大街,绕过舅舅家门口回家。

在网上查找,再没有关于丁进士的更详细的信息。那么,丁进士到底是怎么样的一个人?
丁尧相,字宗舜,别号云峰,生于弘治癸亥八月二十四(公元1503年9月14日)。丁进士生而崎嶷,仪貌玉立,七岁学毛诗,日记千言。再长大一点时,下笔滚滚多奇言。总角(八至十三岁)时,补郡弟子员,考试时独领风骚。之后学习更加努力,博览群书,观史百家,文章更加雅致。嘉靖庚子(1540年)乡试中举,十年后,嘉靖庚戌(1550年)参加会试中贡士,本应参加廷对点进士,却因病归乡,三年后再点进士,却又因为母亲去世不能参加,直到嘉靖丙辰(1556年)才成为进士,选为成都司理。
自古记载,蜀道之难难于上青天,别人都为丁进士鸣不平,丁进士却不生气,说:“哪个地方不能做官?什么官不能施展抱负?”然后单车栈道去上任。上任后,要去拜会前任和当地豪绅,丁进士就不高兴。向上级官吏递呈公文时,要弯腰呈上,丁进士也不屑做,再有这样的事,上级官员就让他派遣手下人代呈,他真的就派遣手下人代呈,真的是书生意气啊。但他在公务上却很能干,各种官司数言立解,公堂下的人都啧啧称神。齐通人争水,多年未决,丁进士到声劝解,让双方各让三尺,双方不再争执。大旱之年,丁进士斋戒三日,为民祈祷。石山多权贵子弟,依势欺人,乡人敢怒不敢言。丁进士将知这些权贵的隐秘之事当从揭露,得罪了很多人,都想把丁进士赶走,恨不能落井下石。虽然丁进士不在意,但积毁销骨,再加上水土不服,心中郁结。最终叹息一声,曰:“山林钟鼎,各各有志。”又口占二联:“踈狂成我性,废置任他为。”“夙志本非缘富贵,高怀端不负溪山。”然后挂冠归乡。
丁进士归乡后,闭门谢客,侍花弄草,执经教子,含饴弄孙,为家乡做善事,乡邻很感谢他的义举。时而游山玩水,啸傲天地,睥睨一世,旁若无人。丁进士生性耿直,为人大气,磊落倜傥,天生傲骨,在权贵面前不低头,与官府无关联,与人交往不俗套,有人讥讽也毫不在意。丁进士淡泊处世三十余年如一日,临终时,留给子孙的遗言是“积德、读书”并让在其墓侧植君子栢四株。说罢去世,时万历戊子五月十七日(公元1588年6月10日)。
丁进士与张进士真像传说中那样不睦吗?应该不是的,丁进士去世后,张维新的舅舅拿丁进士的生平给维新看,让其为丁进士写墓志铭,“(读)未卒,业大哭,墜地,捡复读,复大哭,曰:若外大夫者,诚逴然有古达人风致。”可见张维新对其外祖父丁进士感情很深,评价很高。



据记载,丁尧相与张维新的祖父柏庵公张粹在为诸生时相识相交,并好行德义之举。张维新的父亲张从易天资聪颖,丁尧相看中他的才能,把自己的大女儿许配给了张从易。张从易却是命运多舛,3岁丧母,17岁丧父,成了一个孤儿,并且把父亲后事办完后,已是家徒四壁。丁进士没有嫌弃张从易的贫穷,仍把女儿嫁到了张家。丁氏嫁进张家后,邻居们还议论纷纷,说丁氏是大户人家的姑娘,肯定受不了这种贫穷的日子,没想到丁氏却没有大家闺秀的作派,布衣陋食,纺线织布,啖苦若饴,安心过起了苦日子,在张维新出生时,更是严格督促张维新学习。每天晚上,或纺线,或织衣,陪着张维新学习到深夜,朗朗的读书声经常响到鸡叫时分。皇天不负有心人,张维新十四岁成诸生,二十八岁中举人,三十二岁中进士,后历作县令、给事中、参议、参政、按察副使,最后官至陕西布政使司左布政使兼按察使事。
没有丁进士的慧眼识人和优良品德,就没有丁氏嫁入张家,没有丁进士的良好的家风,就没有丁氏的含辛茹苦,没有丁氏的相夫教子,就没有张维新的成就。可以这样说,有了丁进士,才有了张进士。
这个故事告诉我们,个人良好的操行和优良的家风,对个人,对家人是多么重要。丁进士,不愧为一代名士。(文/图 张中红)



参考资料:
1、清朝道光《汝州志》
2、网文,《中大街故事之青石坊与红石坊》
3、网文,汝州市文化局《张公巷北宋官窑窑址讲解词》
4、明,张维新,《文林郎四川成都府推官云峰丁公墓志铭》
5、明,张维新,《府君凤山张公行实》
6、明,张维新,《先妣丁太孺人行实》